1、什么是图?
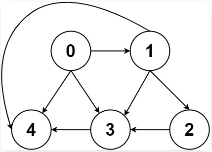
一幅图是由节点和边构成的,逻辑结构如下:

图一般有两种存储结构分为:
- 邻接表

- 邻接矩阵

// 邻接表
// graph[x] 存储 x 的所有邻居节点
vector<vector<int>> graph
// 邻接矩阵
// matrix[x][y] 记录 x 是否有一条指向 y 的边
vector<vector<int>> matrix
2、dfs算法模板
void dfs(参数) {
处理节点;
if (终止条件) {
存放结果;
撤销处理结果;--(可选)
return;
// 这里也可以选择不return,那就没有必要撤销了
}
for (选择:本节点所连接的其他节点) {
dfs(图,选择的节点); // 递归
}
回溯,撤销处理结果
}
3、dfs和回溯算法的区别
这里先给出回溯算法的模板
void backtracking(参数) {
if (终止条件) {
存放结果;
return;
}
for (选择:本层集合中元素(树中节点的数量就是集合的大小)) {
处理节点;
backtracking(路径,选择列表); // 递归
回溯,撤销处理结果
}
}
相同点:
- dfs也是回溯算法的一种,都是递归思想的具体体现
不同点:
- 回溯算法的「做选择」和「撤销选择」在 for 循环里面,而dfs算法在for循环外面
- 回溯算法关注的不是节点,而是树枝。
- dfs算法关注节点。是因为一个图可以有独立的节点,他们之间没有边进行连接。
